[]
2組の対応するデータセットにおいて、各組の標準偏差の積の平均値(共分散)を返します。
COVAR( array1 , array2 )
引数として指定する2つのデータ配列は、次の条件を満たす必要があります。
データは数値のほか、数値を表す名前、配列、またはセル参照とします。 数値以外のデータを保持するセルは無視されます。
各データセットは、同数のデータ点を持つ同じ大きさとします。
空のデータセット、または標準偏差が0になる値から成るデータセットは使用できません。
共分散は、2組のデータセット間の関係を分析するために使用します。 たとえば、ある母集団において、教育水準が高い人ほど高い収入を得ているのかどうかを調べることができます。
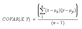
共分散は次のように計算されます。 n は配列の大きさ、μは平均値を表します。

両引数に対して数値配列を受け取り、 数値データを返します。
COVAR(J2:J5,L2:L5)
COVAR(R2C12:R15C12,R2C14:R15C14)
COVAR({7,5,6},{7,4,4}) 結果: 1
COVAR({5,10,15,20,25},{4,8,16,32,64}) 結果: 144