[]
既知の値を使用して予測値を計算します。
FORECAST( value , Yarray , Xarray )
有効な引数は次のとおりです。
引数 | 説明 |
|---|---|
value | 将来の従属値を予測するための値 |
Yarray | 既知の従属値の配列(y) |
Xarray | 既知の独立値の配列(x) |
この関数は、指定したx値に対するy値を予測します。 既知の値をxおよびyとし、これらの値から得られる回帰直線を使用して、新たな値が算出されます。 この関数を使用すると、将来の売上、在庫要件、消費者傾向などを予測できます。
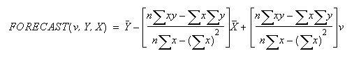
この関数は次のように計算されます。

vは value 引数、Yは Yarray 引数、Xは Xarray 引数をそれぞれ表し、nは各配列のサイズを表します。
全引数に対して数値データを受け取り、 数値データを返します。
FORECAST(30,G1:G9,F1:F9)
FORECAST(30,R1C7:R9C7,R1C6:R9C6)
FORECAST(45,{53000,57000,58000,69000,74500,55620,80000, 68700},{35,31,47,51,37,31,58,39}) 結果: 67060.8665320360