[]
母集団全体(数値、論理値、またはテキスト)に基づく分散を返します。
VARPA( value1 , value2 ,...)
VARPA( array )
VARPA( array1 , array2 ,...)
各引数には倍精度小数点値、整数値、テキスト、論理値、またはこれらの値の配列(セル範囲)を指定できます。 指定可能な引数の数は最大255個です。 値を1つ1つ列挙するのではなく、1つの配列(セル範囲)として指定できます。 また、複数の配列(複数のセル範囲)を使用することもできます。
分散は、一群のデータが平均値からどれだけ散らばっているかを示します。
各引数には倍精度小数点値、整数値、テキスト、論理値、またはこれらの値の配列(セル範囲)を指定できます。 指定可能な引数の数は最大255個です。 値を1つ1つ列挙するのではなく、1つの配列(セル範囲)として指定できます。 また、複数の配列(複数のセル範囲)を使用することもできます。
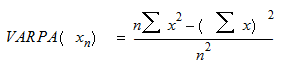
この関数は次のように計算されます。 n は引数値の個数を表します。

xが引数値であり、nは値の個数を表します。
この関数は、受け取った引数を母集団全体とみなします。 母集団の中の標本データの分散を調べるには、VARA関数を使用します。
VARP関数と異なり、この関数には数値だけでなくテキストや論理値も指定することができます。
全引数に対して数値、論理値、またはテキストデータを受け取り、 数値データを返します。
VARPA(B3,C4,B2,D10,E5)
VARPA(A1:A9) VARPA(R1C2,100,R2C5,102)
VARPA(98,85,76,87,92,89,90) 結果: 39.2653061224