[]
z検定の有意差を返します。z検定では、一群のデータに対する検定値xの標準スコアを生成し、正規分布の両側の確率値を返します。
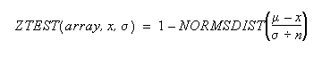
Z.TEST( array , x , sigma )
有効な引数は次のとおりです。
引数 | 説明 |
|---|---|
array | 検定対象のデータ配列 |
x | 検定する値 |
sigma | (オプション)母集団に対する既知の標準偏差。省略すると、標本の標準偏差が使用されます。 |
sigmaを省略すると、array内のデータを基に計算された標準偏差が使用されます。
z検定は次のように計算されます。nはデータ点の個数を表します。

全引数に対して数値データを受け取り、数値データを返します。
Z.TEST(A2:D12,40,0.877)
Z.TEST(R2C1:R12C4,2)
Z.TEST({5,10,15,12,11,8,16,7},10) 結果: 0.355512703503418
Z.TEST({5,10,15,12,11,8,16,7},10,3) 結果: 0.31867594409823696