[]
既存のx値とy値を使用して得た回帰直線がy軸と交わる点の座標(切片)を求めます。
INTERCEPT( dependent , independent )
有効な引数は次のとおりです。
引数 | 説明 |
|---|---|
dependent | 既知の従属値の配列(y) |
independent | 既知の独立値の配列(x) |
各引数には数値、配列、または参照を指定できます。
切片の算出には、既知のx値およびy値から得られる最適な回帰直線が使用されます。 切片は、独立変数が0であるときに従属変数の値を求める場合に使用します。 この関数を使用すると、たとえば室温およびそれ以上の環境で計測したデータ点がある場合、0度での金属の電気抵抗を予測できます。
引数として指定した配列または参照に文字列、論理値、または空白セルが含まれると、これらの値は無視されます。ただし、値が0のセルは計算対象となります。
従属変数の個数は、独立変数の個数と同じである必要があります。
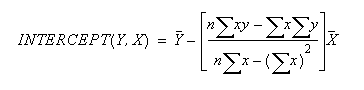
この関数は次のように計算されます。

Yは従属変数配列、Xは独立変数配列を表し、nは配列のサイズを表します。
両引数に対して数値配列を受け取り、 数値データを返します。
INTERCEPT(G1:G9,F1:F9)
INTERCEPT(R1C7:R9C7,R1C6:R9C6)
INTERCEPT({53000,57000,58000,69000,74500,55620,80000, 68700},{35,31,47,51,37,31,58,39}) 結果: 37060.4809987149